题目内容
等比数列{an}的各项均为正数,且2a1+3a2=1,a32=9a2a6.
(1)求数列{an}的通项公式;
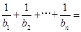
(2)设bn=log3a1+log3a2+…+log3an,求数列
的前n项和.
【答案】
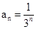
(1)
;(2)![]()
【解析】
试题分析:(1)由
得
,从而求
,再代入
求
,代入等比数列通项公式求
;(2)求数列前n项和,首先考察数列通项公式,根据通项公式的不同形式选择相应的求和方法,由
=
,故求得![]()
,利用裂项相消法求和.
试题解析:(1)设数列{an}的公比为q.由
得
,所以
.由条件可知
故![]()
由
得
,所以
.故数列{an}的通项公式为
.
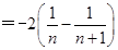
(2) ![]()
![]()
.
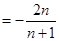
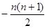
故![]()
![]()
.
![]()
![]()
![]()
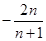
所以数列
的前n项和为
.
考点:1、等比数列的通项公式;2、等比数列的性质;3、数列求和.
练习册系列答案
相关题目