搜索
题目内容
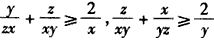
已知x,y,z均为正数,求证:
。
试题答案
相关练习册答案
证明:因为x,y,z均为正数,
所以
,
同理可得
,
当且仅当x=y=z时,以上三式等号都成立,
将上述三个不等式两边分别相加,并除以2,
得
。
练习册系列答案
说明与检测系列答案
全程优选测试卷系列答案
沸腾英语系列答案
考点同步解读系列答案
同步导学创新学习系列答案
学习总动员单元复习专项复习期末复习系列答案
课时周测月考系列答案
课时练课时笔记系列答案
课时练加考评系列答案
汇文图书卓越课堂系列答案
相关题目
【选做题】在A,B,C,D四小题中只能选做2题,每小题10分,共计20分.请在答题卡指定区域内作答.解答应写出文字说明、证明过程或演算步骤.
A.选修4-1 几何证明选讲
如图,⊙O的直径AB的延长线与弦CD的延长线相交于点P,E为⊙O上一点,AE=AC,DE交AB于点F.求证:△PDF∽△POC.
B.选修4-2 矩阵与变换
若点A(2,2)在矩阵
M=
cosα
-sinα
sinα
cosα
对应变换的作用下得到的点为B(-2,2),求矩阵M的逆矩阵.
C.选修4-4 坐标系与参数方程
已知极坐标系的极点O与直角坐标系的原点重合,极轴与x轴的正半轴重合,
曲线C
1
:
ρcos(θ+
π
4
)=2
2
与曲线C
2
:
x=4
t
2
y=4t
(t∈R)交于A、B两点.求证:OA⊥OB.
D.选修4-5 不等式选讲
已知x,y,z均为正数.求证:
x
yz
+
y
zx
+
z
xy
≥
1
x
+
1
y
+
1
z
.
A.如图,⊙O的直径AB的延长线与弦CD的延长线相交于点P,E为⊙O上一点,AE=AC,DE交AB于点F.求证:△PDF∽△POC.
B.已知矩阵A=
.
1
-2
3
-7
.
.
(1)求逆矩阵A
-1
;
(2)若矩阵X满足
AX=
3
1
,试求矩阵X.
C.坐标系与参数方程
已知极坐标系的极点O与直角坐标系的原点重合,极轴与x轴的正半轴重合,曲线C
1
:ρcos(θ+
π
4
)=2
2
与曲线C
2
:
x=4
t
2
y=4t
,(t∈R)交于A、B两点.求证:OA⊥OB.
D.已知x,y,z均为正数,求证:
x
yz
+
y
zx
+
z
xy
≥
1
x
+
1
y
+
1
z
.
已知x、y、z均为正实数,且3
x
=4
y
=6
x
,求证
已知x,y,z均为正实数,且4xy+z
2
+2yz+2xz=8,则x+y+z的最小值是
A.8 B.4 C.2 D.2
A.如图,⊙O的直径AB的延长线与弦CD的延长线相交于点P,E为⊙O上一点,AE=AC,DE交AB于点F.求证:△PDF∽△POC.
B.已知矩阵A=
.
(1)求逆矩阵A
-1
;
(2)若矩阵X满足
,试求矩阵X.
C.坐标系与参数方程
已知极坐标系的极点O与直角坐标系的原点重合,极轴与x轴的正半轴重合,曲线C
1
:ρcos(θ+
)=2
与曲线C
2
:
,(t∈R)交于A、B两点.求证:OA⊥OB.
D.已知x,y,z均为正数,求证:
.
关 闭
试题分类
高中
数学
英语
物理
化学
生物
地理
初中
数学
英语
物理
化学
生物
地理
小学
数学
英语
其他
阅读理解答案
已回答习题
未回答习题
题目汇总
试卷汇总
练习册解析答案