题目内容

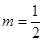
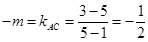
已知平面区域如图,,,,在平面区域内取得最大值时的最优解有无数多个,则          

 

 

【答案】

【解析】

试题分析:由,故是直线的纵截距,因此当直线向上平移时增加,要使得最优解有无数个,从图可知必有直线平移到与直线AC重合,因此

考点:线性规划.

 

练习册系列答案
相关题目

违法和不良信息举报电话:027-86699610 举报邮箱:58377363@163.com

精英家教网