题目内容
设函数f(x)=ax2+bx+k(k>0)在x=0处取得极值,且曲线y=f(x)在点(1,f(1))处的切线垂直于直线x+2y+1=0,
(Ⅰ)求a,b的值;
(Ⅱ)若函数
,讨论g(x)的单调性。
(Ⅰ)求a,b的值;
(Ⅱ)若函数
解:(Ⅰ)因
,
又f(x)在x=0处取得极限值,故f′(x)=0,从而b=0,
由曲线y= f(x)在(1,f(1))处的切线与直线x-2y+1=0相互垂直,
可知该切线斜率为2,
即f′(1)=2,有2a=2,从而a=1;
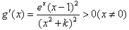
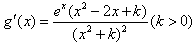
(Ⅱ)由(Ⅰ)知,
,
,
令
,
(1)当△=4-4k<0,即当k>1时,g′(x)>0在R上恒成立,故函数g(x)在R上为增函数;
(2)当△=4-4k =0,即当k=1时,
,
k=1时,g(x)在R上为增函数;
(3)△=4-4k>0,即当0<k<1时,方程
有两个不相等实根
,
当x∈
时,g′(x)>0,故g(x)在
上为增函数;
当x∈
时,g′(x)<0,故g(x)在
上为减函数;
x∈
时,g′(x)>0,故g(x)在
上为增函数。
又f(x)在x=0处取得极限值,故f′(x)=0,从而b=0,
由曲线y= f(x)在(1,f(1))处的切线与直线x-2y+1=0相互垂直,
可知该切线斜率为2,
即f′(1)=2,有2a=2,从而a=1;
(Ⅱ)由(Ⅰ)知,
令
(1)当△=4-4k<0,即当k>1时,g′(x)>0在R上恒成立,故函数g(x)在R上为增函数;
(2)当△=4-4k =0,即当k=1时,
k=1时,g(x)在R上为增函数;
(3)△=4-4k>0,即当0<k<1时,方程
当x∈
当x∈
x∈
练习册系列答案
相关题目
| x |
| 1 | ||
|
| ∫ | 2π π |
A、-
| ||
| B、-160 | ||
| C、160 | ||
| D、20 |