题目内容
已知等比数列中,,公比,设。
(1)求数列的通项公式;(2)求数列的前n项和。
(本题满分16分)(Ⅰ)(Ⅱ)两道题普通班可以任意选择一道解答,实验班必做(Ⅱ)题(Ⅰ)已知等比数列中,,公比。(1)为的前项和,证明:(2)设,求数列的通项公式. (Ⅱ)设正数数列{an}的前n项和为Sn满足Sn= (an+1)(n∈N*).(1)求出数列{an}的通项公式。(2)设,记数列{bn}的前n项和为,求
已知等比数列中,, 公比q=2 , 则其前n和= .
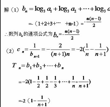
(本小题满分12分)已知等比数列中,,公比.
(I)为的前n项和,证明:
(II)设,
求数列的通项公式
已知等比数列中,,公比1,若,则
A. 9 B. 10 C. 11 D. 12
(本题满分16分)(Ⅰ)(Ⅱ)两道题普通班可以任意选择一道解答,实验班必做(Ⅱ)题
(Ⅰ)已知等比数列中,,公比。
(1)为的前项和,证明:
(2)设,求数列的通项公式.
(Ⅱ)设正数数列{an}的前n项和为Sn满足Sn= (an+1)(n∈N*).
(1)求出数列{an}的通项公式。
(2)设,记数列{bn}的前n项和为,求