题目内容
在一个月内分批购入每张价值为20元的书桌共36台,每批都购入x台(x是正整数),且每批均需付运费4元,储存购入的书桌一个月所付的保管费与每批购入书桌的总价值(不含运费)成正比,若每批购入4台,则该月需用去运费和保管费共52元,现在全月只有48元资金可以用于支付运费和保管费.
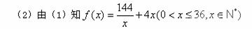
(1)求该月需用去的运费和保管费的总费用![]()
(2)能否恰当地安排每批进货的数量,使资金够用?写出你的结论,并说明理由.
练习册系列答案
相关题目
题目内容
在一个月内分批购入每张价值为20元的书桌共36台,每批都购入x台(x是正整数),且每批均需付运费4元,储存购入的书桌一个月所付的保管费与每批购入书桌的总价值(不含运费)成正比,若每批购入4台,则该月需用去运费和保管费共52元,现在全月只有48元资金可以用于支付运费和保管费.
(1)求该月需用去的运费和保管费的总费用![]()
(2)能否恰当地安排每批进货的数量,使资金够用?写出你的结论,并说明理由.