题目内容

的三外顶点分别为.

(1)求边AC所在的直线方程;

(2)求AC边上的中线BD所在的直线的方程。

 

【答案】

(1)(2)

【解析】

试题分析:(1)根据直线方程的截距式方程列式,化简即得AC边所在直线的方程;

(2)由线段的中点坐标公式,算出AC中点D的坐标,从而得到直线AD的斜率,再由直线方程的点斜式列式,化简即得BC边上中线所在直线的方程.

试题解析:

(1)因为

所以直线AC的截距式方程为整理得:

直线AC方程的一般式为

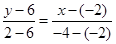
(2)设D点的坐标为由中点坐标公式可得.因为,所以由两点式可得:

BD所在直线的方程为整理得:

考点:直线的两点式方程;直线的一般式方程.

 

练习册系列答案
相关题目

违法和不良信息举报电话:027-86699610 举报邮箱:58377363@163.com

精英家教网