题目内容
已知动点M到点F(1)求动点M的轨迹C的方程;
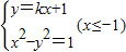
(2)若过点E(0,1)的直线与曲线C在y轴左侧交于不同的两点A、B,点P(-2,0)满足
【答案】分析:(1)直接设出点M的坐标,列出M的关系式,代入坐标化简即可.即用直接法求轨迹方程.
(2)由(1)可知动点M的轨迹C为双曲线,联立方程,消元,若过点E(0,1)的直线与曲线C在y轴左侧交于不同的两点A、B,即消元后的方程应有两个负实根,故
,求出k的范围.由
知N为AB的中点,由维达定理表示出N的坐标,写出PN的方程,令x=0,用k表示出直线PN在y轴上的截距d,转化为求函数的值域.
解答:解:(1)设动点M的坐标为(x,y),由题设可知
,
∴动点M的轨迹C方程为x2-y2=1
(2)设A(x1,y1),B(x2,y2),
由题设直线AB的方程为:y=kx+1,
由
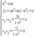
消去y得:(1-k2)x2-2kx-2=0(x≤-1),
由题意可得:
解得
∴
则
,
∴
令
上为减函数.
∴
.
点评:本题考查直接法求轨迹方程和直线与双曲线位置关系的判断、圆锥曲线中范围的求解,综合性强,计算量大.
(2)由(1)可知动点M的轨迹C为双曲线,联立方程,消元,若过点E(0,1)的直线与曲线C在y轴左侧交于不同的两点A、B,即消元后的方程应有两个负实根,故
解答:解:(1)设动点M的坐标为(x,y),由题设可知
∴动点M的轨迹C方程为x2-y2=1
(2)设A(x1,y1),B(x2,y2),
由题设直线AB的方程为:y=kx+1,
由
由题意可得:
解得
则
∴
令
∴
点评:本题考查直接法求轨迹方程和直线与双曲线位置关系的判断、圆锥曲线中范围的求解,综合性强,计算量大.
练习册系列答案
相关题目