题目内容

设函数

(1)求函数的最小正周期和单调递增区间;

(2)求函数在区间上的最小值和最大值,并求出取最值时的值。

 

【答案】

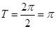
(1)最小正周期为,单调递增区间为;(2)时,最小值-1,时,最大值

【解析】

试题分析:(1)函数的最小正周期是,求它的单调区间实质是借助整体法利用的单调区间,只不过要注意的正负;(2)求函数的最值也是利用整体思想,同样是借助于的最值.

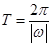
试题解析:(1),          3分

,           2分

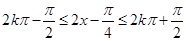
,             1分

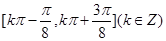
∴递增区间是.           1分

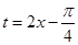
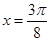
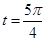
(2)令,则由可得,          2分

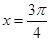
∴当时,.     2分

时,.      2分

考点:(1)三角函数的最小正周期与单调区间;(2)在给定区间上的最值.

 

练习册系列答案
相关题目

违法和不良信息举报电话:027-86699610 举报邮箱:58377363@163.com

精英家教网