题目内容
数列{an}前n项和为Sn,a1=4,an+1=2Sn-2n+4.(1)求证:数列{an-1}为等比数列;
(2)设
【答案】分析:(1)利用数列递推式,再写一式,两式相减,可证数列{an-1}为等比数列;
(2)确定数列{bn}的通项,利用裂项法求前n项和为Tn,即可证得结论.
解答:证明:(1)∵an+1=2Sn-2n+4,∴n≥2时,an=2Sn-1-2(n-1)+4
∴n≥2时,an+1=3an-2(2分)
又a2=2S1-2+4=10,∴n≥1时an+1=3an-2(4分)
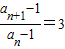
∵a1-1=3≠0,∴an-1≠0,
∴
,∴数列{an-1}为等比数列 (6分)
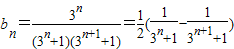
(2)由(1)
,∴
,
∴
(9分)
∴
=
(11分)
∴
,
∴8Tn<1(12分)
点评:本题考查等比数列的证明,考查裂项法求和,考查不等式的证明,确定数列的通项是关键.
(2)确定数列{bn}的通项,利用裂项法求前n项和为Tn,即可证得结论.
解答:证明:(1)∵an+1=2Sn-2n+4,∴n≥2时,an=2Sn-1-2(n-1)+4
∴n≥2时,an+1=3an-2(2分)
又a2=2S1-2+4=10,∴n≥1时an+1=3an-2(4分)
∵a1-1=3≠0,∴an-1≠0,
∴
(2)由(1)
∴
∴
∴
∴8Tn<1(12分)
点评:本题考查等比数列的证明,考查裂项法求和,考查不等式的证明,确定数列的通项是关键.
练习册系列答案
相关题目