题目内容


如图所示,将一矩形花坛ABCD扩建成一个更大的矩形花坛

AMPN,要求B点在AM上,D点在AN上,且对角线MN过C点,已知AB=3米,AD=2米.

(1)要使矩形AMPN的面积大于32平方米,则DN的长应在什么范围内?

(2)当DN的长为多少时,矩形花坛AMPN的面积最小?并求出最小值.


解 (1)设DN的长为x (x>0)米,则AN=(x+2)米

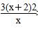
,∴AM=

∴SAMPN=AN·AM=

由SAMPN>32,得>32,又x>0,

得3x2-20x+12>0,解得:0<x<或x>6,

即DN长的取值范围是∪(6,+∞).

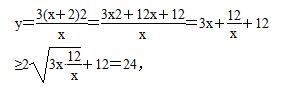
(2)矩形花坛AMPN的面积为

当且仅当3x=,即x=2时,矩形花坛AMPN的面积取得最小值24.

故DN的长为2米时,矩形AMPN的面积最小,最小值为24平方米.


练习册系列答案
相关题目

违法和不良信息举报电话:027-86699610 举报邮箱:58377363@163.com

精英家教网