题目内容
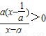
解关于x的不等式:
【答案】分析:分a=0、0<a<1、a=1、a>1、a<-1、a=-1、-1<a<0这几种情况,分别求得不等式的解集.
解答:解:当a=0时,不等式化为:
,其解集为{x|x<0}.
若a≠0,则原不等式可化为
.
当0<a<1时,
,不等式解集为:{x|x<a或
},
当a=1时,不等式化为
,其解为:{x|x∈R且x≠1},
当a>1时,
,不等式解集为:{x|
或x>a}.
若a<0,则不等式可化为:
.
当a<-1时,
,不等式解集为:{x|
},
当a=-1时,不等式可化为
,其解集为∅,
当-1<a<0时,
,不等式解集为:{x|
}.
点评:本题主要考查分式不等式的解法,体现了转化以及分类讨论的数学思想,属于中档题.
解答:解:当a=0时,不等式化为:
若a≠0,则原不等式可化为
当0<a<1时,
当a=1时,不等式化为
当a>1时,
若a<0,则不等式可化为:
当a<-1时,
当a=-1时,不等式可化为
当-1<a<0时,
点评:本题主要考查分式不等式的解法,体现了转化以及分类讨论的数学思想,属于中档题.
练习册系列答案
相关题目