题目内容
已知a是实数,函数
。
(I)求函数f(x)的单调区间;
(II)设g(a)为f(x)在区间[0,2]上的最小值。
(i)写出g(a)的表达式;
(ii)求a的取值范围,使得-6≤g(a)≤-2。
(I)求函数f(x)的单调区间;
(II)设g(a)为f(x)在区间[0,2]上的最小值。
(i)写出g(a)的表达式;
(ii)求a的取值范围,使得-6≤g(a)≤-2。
解;(I)函数的定义域为[0,+∞),
(x>0)
若a≤0,则f'(x)>0,f(x)有单调递增区间[0,+∞)
若a>0,令f'(x)=0,得
,
当
时,f'(x)<0,
当
时,f'(x)>0
f(x)有单调递减区间
,单调递增区间
。
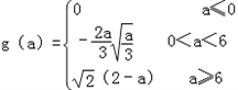
(II)(i)若a≤0,f(x)在[0,2]上单调递增,
所以g(a)=f(0)=0
若0<a<6,f(x)在
上单调递减,在
上单调递增,
所以
若a≥6,f(x)在[0,2]上单调递减,
所以
综上所述,
(ii)令-6≤g(a)≤-2
若a≤0,无解
若0<a<6,解得3≤a<6
若a≥6,解得
故a的取值范围为
。
若a≤0,则f'(x)>0,f(x)有单调递增区间[0,+∞)
若a>0,令f'(x)=0,得
当
当
f(x)有单调递减区间
(II)(i)若a≤0,f(x)在[0,2]上单调递增,
所以g(a)=f(0)=0
若0<a<6,f(x)在
所以
若a≥6,f(x)在[0,2]上单调递减,
所以
综上所述,
(ii)令-6≤g(a)≤-2
若a≤0,无解
若0<a<6,解得3≤a<6
若a≥6,解得
故a的取值范围为
练习册系列答案
相关题目