题目内容
已知f(x)=(1)求g(x)的解析式;
(2)求g(5)的值.
【答案】分析:(1)对于函数f(g(x)),把g(x)看做一个整体变量代入函数f(x)的表达式即可求出;
(2)代入(1)的解析式求出即可.
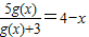
解答:解:(1)∵已知f(x)=
,f[g(x)]=4-x,
∴
,且g(x)≠-3.
解得g(x)=
(x≠-1).
(2)由(1)可知:
=
.
点评:理解函数的定义中的对应法则和复合函数的定义域是解题的关键.
(2)代入(1)的解析式求出即可.
解答:解:(1)∵已知f(x)=
∴
解得g(x)=
(2)由(1)可知:
点评:理解函数的定义中的对应法则和复合函数的定义域是解题的关键.
练习册系列答案
相关题目
已知f(x)满足f(x+4)=f(x)且f(4+x)=f(4-x),若2≤x≤6时,f(x)=|x-b|+c,f(4)=2,则f(lnb)与f(lnc)的大小关系是( )
| A、f(lnb)≤f(lnc) | B、f(lnb)≥f(lnc) | C、f(lnb)>f(lnc) | D、f(lnb)<f(lnc) |