题目内容

定义区间的长度均为.已知实数.则满足的x构成的区间的长度之和为          .

 

【答案】

2

【解析】

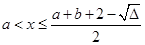
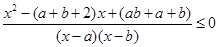
试题分析:本题实质上就是解分式不等式,把不等式变形为,即,且,其中,因此不等式的解为,因此所求长度之和为2.

考点:解含参数的分式不等式.

 

练习册系列答案
相关题目

违法和不良信息举报电话:027-86699610 举报邮箱:58377363@163.com

精英家教网