题目内容
设函数f(x)=|2x+1|-|x-2|。
(1)求不等式f(x)>2的解集;
(2)
x∈R,使f(x)≥t2-
t,求实数t的取值范围。
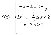
解:(1)
当
时,
∴
当
时,
∴
当
时,
所以
所以
综上所述
;
(2)易得
若
,
恒成立
则只需
综上所述
。
当
∴
当
∴
当
所以
所以
综上所述
(2)易得
若
则只需
综上所述
练习册系列答案
相关题目
题目内容
设函数f(x)=|2x+1|-|x-2|。
(1)求不等式f(x)>2的解集;
(2)
x∈R,使f(x)≥t2-
t,求实数t的取值范围。