搜索
题目内容
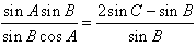
在△ABC中,设
,求A的值。
试题答案
相关练习册答案
解:∵
,
根据正弦定理,∴
,
∴
,
∴
,
∴
。
练习册系列答案
名师点拨培优密卷系列答案
通城学典小题精练系列答案
走向高考考场系列答案
高中同步测控优化训练系列答案
优加精卷系列答案
世纪金榜课时讲练通系列答案
状元训练法系列答案
新课标两导两练高效学案系列答案
金榜夺冠系列答案
期末复习百分百系列答案
相关题目
(本小题12分)
在
ABC中,设
,求A的值。
(本小题12分)
在
ABC中,设
,求A的值。
(本小题12分)在
ABC中,设
,求A的值。
(本小题12分)在
ABC中,设
,求A的值。
在△ABC中,设
=
,求A的值.
关 闭
试题分类
高中
数学
英语
物理
化学
生物
地理
初中
数学
英语
物理
化学
生物
地理
小学
数学
英语
其他
阅读理解答案
已回答习题
未回答习题
题目汇总
试卷汇总
练习册解析答案