题目内容
已知函数(Ⅰ)当a=1时,求函数g(x)=f(x)-2x的单调区间;
(Ⅱ)若函数f(x)在区间(0,2)上无极值,求a的取值范围;
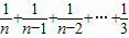
(Ⅲ)已知n∈N*且n≥3,求证:
【答案】分析:(Ⅰ)求出函数定义域,当a=1时求出g′(x),只需解不等式g′(x)>0,g′(x)<0即可.
(Ⅱ)函数f(x)在区间(0,2)上无极值,则f′(x)≥0或f′(x)≤0,由此即可求出a的取值范围.
(Ⅲ)由(Ⅱ)知,当a=1时,f(x)在(0,+∞)上的最大值为f(1)=0,得f(x)=
≤0,即ln
,令x=
适当变形即可证明.
解答:解:(I)当a=1时,
,其定义域为(0,+∞),g′(x)=-2+
=
,,
令g′(x)>0,并结合定义域知
; 令g′(x)<0,并结合定义域知
;
故g(x)的单调增区间为(0,
);单调减区间为
.
(II)
,
(1)当f′(x)≤0即a≤x在x∈(0,2)上恒成立时,a≤0,此时f(x)在(0,2)上单调递减,无极值;
(2)当f′(x)≥0即a≥x在x∈(0,2)上恒成立时,a≥2,此时f(x)在(0,2)上单调递增,无极值.
综上所述,a的取值范围为(-∞,0]∪[2,+∞).
(Ⅲ)由(Ⅱ)知,当a=1时,f′(x)=
,当x∈(0,1)时,f′(x)>0,f(x)单调递增;
当x∈(1,+∞)时,f′(x)<0,f(x)单调递减,
∴f(x)=
在x=1处取得最大值0.
即f(x)=1-
,
∴
,令x=
(0<x<1),则
,即ln(n+1)-lnn
,
∴ln
=ln(n+1)-ln3=[ln(n+1)-lnn]+[lnn-ln(n-1)]+…+(ln4-ln3)
<
.
故
.
点评:本题考查了利用导数研究函数的单调性、利用导数求函数最值问题,考查了运用知识解决问题的能力.
(Ⅱ)函数f(x)在区间(0,2)上无极值,则f′(x)≥0或f′(x)≤0,由此即可求出a的取值范围.
(Ⅲ)由(Ⅱ)知,当a=1时,f(x)在(0,+∞)上的最大值为f(1)=0,得f(x)=
解答:解:(I)当a=1时,
令g′(x)>0,并结合定义域知
故g(x)的单调增区间为(0,
(II)
(1)当f′(x)≤0即a≤x在x∈(0,2)上恒成立时,a≤0,此时f(x)在(0,2)上单调递减,无极值;
(2)当f′(x)≥0即a≥x在x∈(0,2)上恒成立时,a≥2,此时f(x)在(0,2)上单调递增,无极值.
综上所述,a的取值范围为(-∞,0]∪[2,+∞).
(Ⅲ)由(Ⅱ)知,当a=1时,f′(x)=
当x∈(1,+∞)时,f′(x)<0,f(x)单调递减,
∴f(x)=
即f(x)=1-
∴
∴ln
<
故
点评:本题考查了利用导数研究函数的单调性、利用导数求函数最值问题,考查了运用知识解决问题的能力.
练习册系列答案
相关题目