题目内容
已知直线l:3x+4y-2=0(Ⅰ)求经过直线l与直线x+3y-4=0的交点P,且垂直于直线x-2y-1=0的方程;
(Ⅱ)求直线l与两坐标轴围成的三角形的外接圆的方程.
【答案】分析:(Ⅰ)联立直线l与直线x+3y-4=0组成方程组,求出方程组的解得到交点P的坐标,由两直线垂直时斜率的乘积为-1,及直线x-2y-1=0的斜率,求出所求直线的斜率,即可确定出所求直线的方程;
(Ⅱ)对于直线l,分别令x与y为0,求出对应y与x的值,确定出直线与坐标轴交点坐标,由两坐标轴垂直,得到一个角为直角,利用直角所对的弦为直径,利用勾股定理求出直径的长,进而确定出半径的长,由线段中点坐标公式求出圆心坐标,即可确定出三角形外接圆的方程.
解答:解:(Ⅰ)由题意得:
,
解得:
,即P(-2,2),
∵所求直线垂直于直线x-2y-1=0的方程,
∴所求直线的斜率为-2,
则所求直线方程为y-2=-2(x+2),即2x+y+2=0;
(Ⅱ)对于直线l:3x+4y-2=0,
令x=0,解得y=
;令y=0,解得x=
,
∴直线l与坐标轴的交点为(0,
),(
,0),
∴外接圆圆心坐标为(
,
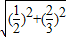
),三角形外接圆直径为
=
,即半径为
,
则三角形外接圆方程为(x-
)2+(y-
)2=
.
点评:此题考查了直线与圆的位置关系,直线的一般式方程与直线的垂直关系,以及两直线的交点坐标,是一道综合性较强的题.
(Ⅱ)对于直线l,分别令x与y为0,求出对应y与x的值,确定出直线与坐标轴交点坐标,由两坐标轴垂直,得到一个角为直角,利用直角所对的弦为直径,利用勾股定理求出直径的长,进而确定出半径的长,由线段中点坐标公式求出圆心坐标,即可确定出三角形外接圆的方程.
解答:解:(Ⅰ)由题意得:
解得:
∵所求直线垂直于直线x-2y-1=0的方程,
∴所求直线的斜率为-2,
则所求直线方程为y-2=-2(x+2),即2x+y+2=0;
(Ⅱ)对于直线l:3x+4y-2=0,
令x=0,解得y=
∴直线l与坐标轴的交点为(0,
∴外接圆圆心坐标为(
则三角形外接圆方程为(x-
点评:此题考查了直线与圆的位置关系,直线的一般式方程与直线的垂直关系,以及两直线的交点坐标,是一道综合性较强的题.
练习册系列答案
相关题目