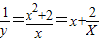
题目内容
已知x>0,则函数
【答案】分析:首先可以分析到
是一种特殊形式,可以想到用基本不等式
求解,求出
的最小值即可以直接得到y的最大值.
解答:解:因为x>0,又
可看出y>0. 又有
,
根据基本不定式
,
可得:
所以
.
故答案应为
.
点评:此题主要考查基本不等式的应用问题,在做此类题的时候不要盲目的用函数极值的办法求解,要认真分析是否有特殊的求解办法,以便更容易的解答.
解答:解:因为x>0,又
根据基本不定式
可得:
故答案应为
点评:此题主要考查基本不等式的应用问题,在做此类题的时候不要盲目的用函数极值的办法求解,要认真分析是否有特殊的求解办法,以便更容易的解答.
练习册系列答案
相关题目