题目内容
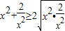
已知函数f(x)满足2f(x)-f(A.2
B.2
C.3
D.4
【答案】分析:令x=
,原式可变为2f(
)-f(x)=3x2,与已知联立可得f(x)解析式,用基本不等式即可求得f(x)的最小值.
解答:解:由2f(x)-f(
)=
①,得2f(
)-f(x)=3x2②,
联立①②解得f(x)=
,
f(x)=
=2
,当且仅当
,即x=
时取等号,
故f(x)的最小值为2
.
点评:本题考查了函数解析式的求解方法及函数最值问题,解决本题关键是令x=
构造另一等式,注意基本不等式求最值的条件.
解答:解:由2f(x)-f(
联立①②解得f(x)=
f(x)=
故f(x)的最小值为2
点评:本题考查了函数解析式的求解方法及函数最值问题,解决本题关键是令x=
练习册系列答案
相关题目