题目内容
长方体ABCD-A1B1C1D1的三个面的对角线长分别是a,b,c,则长方体对角线AC1的长是 .
【答案】分析:设长方体具有公共顶点的棱长分别为x,y,z,由题意建立方程组,三式相加可得结论.
解答:解:设长方体具有公共顶点的棱长分别为x,y,z,则
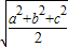
三式相加可得x2+y2+z2=
∴长方体对角线AC1的长是
=
故答案为:
点评:本题考查长方体对角线的计算,考查学生的计算能力,属于基础题.
解答:解:设长方体具有公共顶点的棱长分别为x,y,z,则
三式相加可得x2+y2+z2=
∴长方体对角线AC1的长是
故答案为:
点评:本题考查长方体对角线的计算,考查学生的计算能力,属于基础题.
练习册系列答案
相关题目
长方体ABCD-A1B1C1D1中,AB=3,BC=4,AA1=5 则三棱锥A1-ABC的体积为( )
| A、10 | B、20 | C、30 | D、35 |