题目内容

幂函数f(x)的图象过点,那么f(8)的值为( )
A.
B.64
C.
D.
【答案】分析:先设出幂函数解析式,再通过经过点(4,),解得参数a的值,从而求得其解析式,再代入 8求值.
解答:解:设幂函数为:y=xα
∵幂函数的图象经过点(4,),
=4α
∴α=-

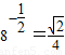
∴f(8)==
故选A.
点评:本题主要考查幂函数求解析式和求函数值问题.幂函数要求较低,但在构造函数和幂的运算中应用较多.不能忽视.
练习册系列答案
相关题目

违法和不良信息举报电话:027-86699610 举报邮箱:58377363@163.com

精英家教网