题目内容
等差数列{an}中,Sn是其前n项和,A.-11
B.11
C.10
D.-10
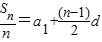
【答案】分析:根据等差数列的前n项和Sn,可知
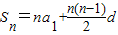
,由
可求得d,代入
,进而可求得S11.
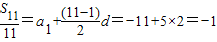
解答:解:
,
得
,
由
,
得
,d=2,
,
∴S11=-11,
故选A
点评:本题主要考查等差数列的求和公式.属基础题.
解答:解:
得
由
得
∴S11=-11,
故选A
点评:本题主要考查等差数列的求和公式.属基础题.
练习册系列答案
相关题目