题目内容
菱形的两条对角线分别位于
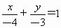
解:由已知,
边
菱形的两条对角线长分别等于8和6,并且分别位于x轴和y轴上,求菱形各边所在的直线的方程。
菱形的两条对角线长分别等于8和6,并且分别位于x轴和y轴上,求菱形各边所在的直线的方程.
菱形的两条对角线分别位于轴和轴上,其长度分别为8和6,
求菱形各边所在直线