搜索
题目内容
在△ABC中,已知AC=2,BC=3,cosA=
,
(Ⅰ)求sinB的值;
(Ⅱ)求sin(2B+
)的值.
试题答案
相关练习册答案
解:(Ⅰ)在△ABC中,
,
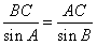
由正弦定理,
,
所以
;
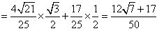
(Ⅱ)因为
,所以角A为钝角,从而角B为锐角,
于是
,
,
,
。
练习册系列答案
迈向尖子生系列答案
课堂之翼系列答案
每周1考课课训系列答案
初中数学课堂导学案系列答案
考前辅导系列答案
练习册人民教育出版社系列答案
课堂内外练测步步高系列答案
新目标检测同步单元测试卷系列答案
夺冠计划创新测评系列答案
概念地图系列答案
相关题目
在△ABC中,已知A、B、C成等差数列,求tg(
A
2
)+
3
tg(
A
2
)tg(
C
2
)+tg(
C
2
)的值.
在△ABC中,已知A=45°,a=2,b=
2
,则B等于( )
A.30°
B.60°
C.150°
D.30°或150°
在△ABC中,已知a=
3
,b=
2
,1+2cos(B+C)=0,求:
(1)角A,B;
(2)求BC边上的高.
在△ABC中,已知A=60°,
AB
•
AC
=1,则△ABC的面积为
3
2
3
2
.
在△ABC中,已知a=1,b=2,
cosC=
3
4
.
(1)求AB的长;
(2)求sinA的值.
关 闭
试题分类
高中
数学
英语
物理
化学
生物
地理
初中
数学
英语
物理
化学
生物
地理
小学
数学
英语
其他
阅读理解答案
已回答习题
未回答习题
题目汇总
试卷汇总
练习册解析答案