题目内容
在数列{an}中,a1=2,an+1=4an-3n+1,n∈N*,
(Ⅰ)证明数列{an-n}是等比数列;
(Ⅱ)求数列{an}的前n项和Sn;
(Ⅲ)证明不等式Sn+1≤4Sn,对任意n∈N*皆成立.
(Ⅰ)证明数列{an-n}是等比数列;
(Ⅱ)求数列{an}的前n项和Sn;
(Ⅲ)证明不等式Sn+1≤4Sn,对任意n∈N*皆成立.
(Ⅰ)证明:由题设
,
得
,n∈N*,
又
,
所以数列{an-n}是首项为1,公比为4的等比数列。
(Ⅱ)解:由(Ⅰ)可知
,
于是数列{an}的通项公式为
,
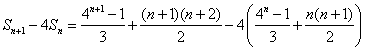
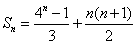
所以数列{an}的前n项和
;
(Ⅲ)证明:对任意的n∈N*,

,
所以不等式
,对任意n∈N*皆成立.
得
又
所以数列{an-n}是首项为1,公比为4的等比数列。
(Ⅱ)解:由(Ⅰ)可知
于是数列{an}的通项公式为
所以数列{an}的前n项和
(Ⅲ)证明:对任意的n∈N*,
所以不等式
练习册系列答案
相关题目