题目内容
设x1,x2(x1<x2)是函数f(x)=(1)判定函数f(x)在区间(x1,x2)上的单调性;
(2)求a的取值范围.
【答案】分析:(1)利用导数和极值,单调性之间的关系,确定函数的单调性.
(2)利用二次函数的图象和性质求a的取值范围.
解答:解:(1)由已知f'(x)=ax2+bx-a2
∵x1,x2(x1<x2)是f(x)的两个极值点.
∴x1,x2是f'(x)=0的两个根.
即f'(x)=a(x-x1)(x-x2)(a>0)(2分)
列表如下:
由上表可知f(x)在区间(x1,x2)上单调递减(6分)
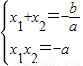
(2)∵
的两个根,
∴
,
∵a>0,∴x1x2<0,
又x1<x2,∴x1<0<x2
∵|x1|+|x2|=2,
∴
(10分)
∴
,∴b2=4a2(1-a)≥0
而a>0,∴0<a≤1(12分)
点评:本题主要考查导数和函数单调性,极值之间的关系,要求熟练掌握利用导数研究函数的性质.
(2)利用二次函数的图象和性质求a的取值范围.
解答:解:(1)由已知f'(x)=ax2+bx-a2
∵x1,x2(x1<x2)是f(x)的两个极值点.
∴x1,x2是f'(x)=0的两个根.
即f'(x)=a(x-x1)(x-x2)(a>0)(2分)
列表如下:
| x | (-∞,x1) | x1 | (x1,x2) | x2 | (x2,+∞) |
| f'(x) | + | - | + | ||
| f(x) | ↗ | 极大值 | ↘ | 极小值 | ↗ |
(2)∵
∴
∵a>0,∴x1x2<0,
又x1<x2,∴x1<0<x2
∵|x1|+|x2|=2,
∴
∴
而a>0,∴0<a≤1(12分)
点评:本题主要考查导数和函数单调性,极值之间的关系,要求熟练掌握利用导数研究函数的性质.
练习册系列答案
相关题目