题目内容
已知数列{x}满足x1=x2=1,并且
(λ为非零参数,n=2,3,4,……)
(1)若x1、x3、x5成等比数列,求参数λ的值;
(2)设0<λ<1,常数k∈N*且k≥3,证明
(n∈N*)。
(1)若x1、x3、x5成等比数列,求参数λ的值;
(2)设0<λ<1,常数k∈N*且k≥3,证明
解:(1)解:由已知
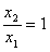
,且
,
,
,
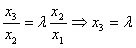
若
成等比数列,则
,
即
,
而λ≠0,解得
;
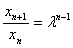
(2)证明:设
,
由已知,数列
是以
为首项、λ为公比的等比数列,
故
,则
,
因此,对任意n∈N*,


,
当k≥3且0<λ<1时,
,
所以
(n∈N*)。
若
即
而λ≠0,解得
(2)证明:设
由已知,数列
故
因此,对任意n∈N*,
当k≥3且0<λ<1时,
所以
练习册系列答案
相关题目