题目内容
已知数列{an}满足:a1=2t-3(t∈R且t≠±1),(1)当t=2时,求证:
(2)若t>0,试比较an+1与an的大小;
(3)在(2)的条件下,已知函数f(x)=
【答案】分析:(1)利用数列递推式,化简,可得
-
=
,从而
是以
为公差的等差数列;
(2)先确定数列的通项,再利用作差比较法,即可得到结论;
(3)对一切n∈N*不等式f(an+1)<f(an)恒成立,可转化为an+1an-4>0,{an}为递增数列,只需a1a2-4>0,由此可得结论.
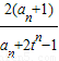
解答:(1)证明:当t=2时,
∴
∴
=
∴
-
=
∴
是以
为公差的等差数列;
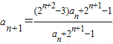
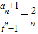
(2)解:∵
=
∴
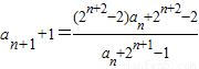
=
=
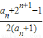
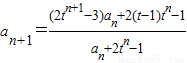
令
=bn,则bn+1=
,b1=
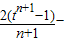
=2
∴
,
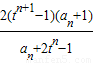
∴
=
∴
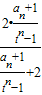
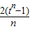
∴an=
∴an+1-an=
=
[n(1+t+…+tn)-(n+1)(1+t+…+tn-1)]
=
[(tn-1)+…+(tn-tn-1)]=
[(1+t+…+tn-1)+t(1+t+…+tn-2)+…+tn-1]
显然t>0(t≠1)时,an+1-an>0,∴an+1>an;
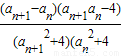
(3)解:∵f(an+1)-f(an)=
-
=
<0,an+1>an
∴an+1an-4>0,{an}为递增数列
∴只需a1a2-4>0
∴(2t-3)(t2-2)-4>0
令f(t)=(2t-3)(t2-2)-4,则f′(t)=6t2-6t-8
∴t>2时,f′(t)>0,函数为增函数
∵f(2)=-2<0,f(3)=17>0
∴满足题意的最小正整数t存在,最小值为3.
点评:本题考查数列递推式,考查数列的通项,考查学生分析解决问题的能力,难度较大.
(2)先确定数列的通项,再利用作差比较法,即可得到结论;
(3)对一切n∈N*不等式f(an+1)<f(an)恒成立,可转化为an+1an-4>0,{an}为递增数列,只需a1a2-4>0,由此可得结论.
解答:(1)证明:当t=2时,
∴
∴
∴
∴
(2)解:∵
∴
令
∴
∴
∴
∴an=
∴an+1-an=
=
显然t>0(t≠1)时,an+1-an>0,∴an+1>an;
(3)解:∵f(an+1)-f(an)=
∴an+1an-4>0,{an}为递增数列
∴只需a1a2-4>0
∴(2t-3)(t2-2)-4>0
令f(t)=(2t-3)(t2-2)-4,则f′(t)=6t2-6t-8
∴t>2时,f′(t)>0,函数为增函数
∵f(2)=-2<0,f(3)=17>0
∴满足题意的最小正整数t存在,最小值为3.
点评:本题考查数列递推式,考查数列的通项,考查学生分析解决问题的能力,难度较大.
练习册系列答案
相关题目