题目内容
数列{an}满足:an+1=3an-3an2,n=1,2,3,…。
(Ⅰ)若数列{an}为常数列,求a1的值;
(Ⅱ)若a1=
,求证:
;
(Ⅲ)在(Ⅱ)的条件下,求证:数列{a2n}单调递减。
(Ⅰ)若数列{an}为常数列,求a1的值;
(Ⅱ)若a1=
(Ⅲ)在(Ⅱ)的条件下,求证:数列{a2n}单调递减。
(Ⅰ)解:因为数列
为常数列,
所以
,
,
,
由n的任意性知,
或
。
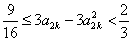
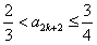
(Ⅱ)证明:用数学归纳法证明
,
①当n=1时,
,符合上式;
②假设当n=k(k≥1)时,
,
因为
, 所以
,即
,
从而
,即
,
因为
,
所以,当n=k+1时,
成立,
由①,②知,
。
(Ⅲ)证明:因为
(n≥2),
所以只要证明
,
由(Ⅱ)知,
,
所以只要证明
,
即证明
,
令
,
,
所以函数f(x)在R上单调递增;
因为
,
所以,
,即
成立,
故
,所以数列
单调递减。
所以
由n的任意性知,
(Ⅱ)证明:用数学归纳法证明
①当n=1时,
②假设当n=k(k≥1)时,
因为
从而
因为
所以,当n=k+1时,
由①,②知,
(Ⅲ)证明:因为
所以只要证明
由(Ⅱ)知,
所以只要证明
即证明
令
所以函数f(x)在R上单调递增;
因为
所以,
故
练习册系列答案
相关题目