题目内容
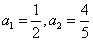
各项均为正数的数列{an},a1=a,a2=b,且对满足m+n=p+q的正整数m,n,p,q都有
。
(1)当
时,求通项an;
(2)证明:对任意a,存在与a有关的常数λ,使得对于每个正整数n,都有
。
(1)当
(2)证明:对任意a,存在与a有关的常数λ,使得对于每个正整数n,都有
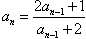
解:(1)由
得
将
代入化简得
所以
故数列
为等比数列,从而
即
可验证,
满足题设条件。
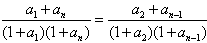
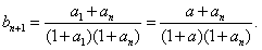
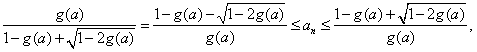
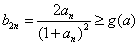
(2)由题设
的值仅与
有关,
记为
则
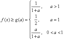
考察函数
,
则在定义域上有
故对
,
恒成立
又
,
注意到
,
解上式得
取
,
即有
。
将
所以
故数列
可验证,
(2)由题设
记为
则
考察函数
则在定义域上有
故对
又
注意到
解上式得
取
即有
练习册系列答案
相关题目