题目内容
设数列{an}满足a1+2a2=3,且对任意的n∈N*,点Pn(n,an)都有A.
B.
C.
D.
【答案】分析:通过向量的坐标运算,得到数列的递推公式进而求和.
解答:解:∵Pn(n,an),∴Pn+1(n+1,an+1),故
an+1-an=2,∴an是等差数列,公差d=2,将a2=a1+2,代入a1+2a2=3中,
解得
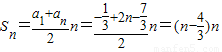
∴
,
故选A.
点评:要掌握向量的坐标运算,主要是指向量坐标等于终点坐标减起点坐标,以及向量相等的意义.
解答:解:∵Pn(n,an),∴Pn+1(n+1,an+1),故
an+1-an=2,∴an是等差数列,公差d=2,将a2=a1+2,代入a1+2a2=3中,
解得
∴
故选A.
点评:要掌握向量的坐标运算,主要是指向量坐标等于终点坐标减起点坐标,以及向量相等的意义.
练习册系列答案
相关题目
设数列{an}满足a1=1,a2+a4=6,且对任意n∈N*,函数f(x)=(an-an+1+an+2)x+an+1?cosx-an+2sinx满足f′(
)=0若cn=an+
,则数列{cn}的前n项和Sn为( )
| π |
| 2 |
| 1 |
| 2an |
A、
| ||||
B、
| ||||
C、
| ||||
D、
|