题目内容
若函数A.a≥-4
B.a<-4
C.a≤4
D.a>4
【答案】分析:首先根据函数的表达式画出函数的图象,从而根据图象判断函数与直线的公共点的情况,最后结合两曲线相切与方程有唯一解的关系即可求得实数a的取值范围.
解答:
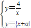
解:画出函数数
和y=|x+a|的图象,(如图).
由图可知,当且仅当直线y=a+x与函数
的图象相切时,
有唯一解,∴a=-4,
函数
和y=|x+a|的图象有三个不同的公共点,则实数a的取值范围是a<-4
故选B.
点评:本题主要考查函数的零点以及数形结合方法,数形结合是数学解题中常用的思想方法,本题由于使用了数形结合的方法,使得问题便迎刃而解,且解法简捷.
解答:
由图可知,当且仅当直线y=a+x与函数
函数
故选B.
点评:本题主要考查函数的零点以及数形结合方法,数形结合是数学解题中常用的思想方法,本题由于使用了数形结合的方法,使得问题便迎刃而解,且解法简捷.
练习册系列答案
相关题目
(文科)若函数y=
和y=|x-a|的图象有三个不同的公共点,则实数a的取值范围是( )
| 4 |
| x |
| A、a>-4 | B、a≤-4 |
| C、a≤4 | D、a>4 |