题目内容
在△ABC中,若sinA=A.等腰
B.等腰直角
C.直角
D.等边
【答案】分析:利用正弦定理及余弦定理可得
,整理可得a,b,c的关系,进而判断三角形的形状.
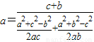
解答:解:由已知
,利用正弦定理及余弦定理可得

∴
∴
∴b(a2+c2-b2)+(a2+b2-c2)c=2bc2+2b2c
∴a2(b+c)-(c+b)(b2+c2-bc)=(b+c)bc
∴a2=b2+c2
△ABC是直角三角形
故选C
点评:本题主要考查了综合利用正弦定理及余弦定理判断三角形的形状,利用正弦定理把“角”转化为“边”时,常用的一些结论 ①a=2RsinA,b=2RsinB,c=2RsinC(R为三角形外接圆的半径)
②sinA=
③a:b:c=sinA:sinB:sinC
解答:解:由已知
∴
∴
∴b(a2+c2-b2)+(a2+b2-c2)c=2bc2+2b2c
∴a2(b+c)-(c+b)(b2+c2-bc)=(b+c)bc
∴a2=b2+c2
△ABC是直角三角形
故选C
点评:本题主要考查了综合利用正弦定理及余弦定理判断三角形的形状,利用正弦定理把“角”转化为“边”时,常用的一些结论 ①a=2RsinA,b=2RsinB,c=2RsinC(R为三角形外接圆的半径)
②sinA=
练习册系列答案
相关题目
在△ABC中,若sinA:sinB:sinC=5:7:8,则此三角形的最大角与最小角之和为( )
| A、90° | B、120° | C、135° | D、150° |