题目内容
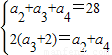
已知单调递增的等比数列{an}满足:a2+a3+a4=28,且a3+2是a2和a4的等差中项.(Ⅰ)求数列an的通项公式{an};
(Ⅱ)令
【答案】分析:(Ⅰ)设出等比数列{an}的公比为q,根据等比数列的通项公式及等差数列的性质分别化简已知的两条件,得到一个方程组,化简后即可求出a1和q的值,写出数列an的通项公式即可;
(Ⅱ)把(Ⅰ)求出的数列an的通项公式代入,利用对数函数的性质化简,确定出bn的通项公式,列举出数列{bn}各项的和的相反数设为Tn,记作①,两边乘以2得到另一个关系式,记作②,①-②即可求出-Tn,即为Sn,把求出的Sn代入已知的不等式中化简,即可求出满足题意的最小的正整数n的值.
解答:解:(Ⅰ)设an的公比为q,由已知,
得
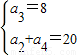
⇒
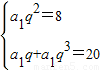
⇒
⇒
,
∴an=a1qn-1=2n;(5分)
(Ⅱ)
,
设Tn=1×2+2×22+3×23+…+n×2n,①
则2Tn=1×22+2×23+…+(n-1)×2n+n×2n+1,②
①-②得:-Tn=(2+22+…+2n)-n×2n+1=-(n-1)×2n+1-2,
∴Sn=-Tn=-(n-1)×2n+1-2(10分)
故Sn+n•2n+1>50?-(n-1)×2n+1-2+n×2n+1>50,
⇒2n>26,
∴满足不等式的最小的正整数n为5.(12分)
点评:此题考查学生掌握用错项相减的方法求数列前n项的和,以及灵活运用等比数列的通项公式来解决问题.学生做第二问时注意不是直接求Sn,而是利用错位相减的方法先求出Sn的相反数Tn.
(Ⅱ)把(Ⅰ)求出的数列an的通项公式代入,利用对数函数的性质化简,确定出bn的通项公式,列举出数列{bn}各项的和的相反数设为Tn,记作①,两边乘以2得到另一个关系式,记作②,①-②即可求出-Tn,即为Sn,把求出的Sn代入已知的不等式中化简,即可求出满足题意的最小的正整数n的值.
解答:解:(Ⅰ)设an的公比为q,由已知,
得
∴an=a1qn-1=2n;(5分)
(Ⅱ)
设Tn=1×2+2×22+3×23+…+n×2n,①
则2Tn=1×22+2×23+…+(n-1)×2n+n×2n+1,②
①-②得:-Tn=(2+22+…+2n)-n×2n+1=-(n-1)×2n+1-2,
∴Sn=-Tn=-(n-1)×2n+1-2(10分)
故Sn+n•2n+1>50?-(n-1)×2n+1-2+n×2n+1>50,
⇒2n>26,
∴满足不等式的最小的正整数n为5.(12分)
点评:此题考查学生掌握用错项相减的方法求数列前n项的和,以及灵活运用等比数列的通项公式来解决问题.学生做第二问时注意不是直接求Sn,而是利用错位相减的方法先求出Sn的相反数Tn.
练习册系列答案
相关题目