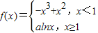
题目内容
已知函数(Ⅰ)求实数b、c的值;
(Ⅱ)若存在x∈[-1,2],使得f(x)≥3a-7成立,求实数a的取值范围.
【答案】分析:(Ⅰ)x<1时,f′(x)=-3x2+2x+b,利用当
时,函数f(x)有极大值
,建立方程,即可求得实数b、c的值;
(Ⅱ)存在x∈[-1,2],使得f(x)≥3a-7成立,等价于x∈[-1,2],使得f(x)max≥3a-7成立,分类讨论,求出函数的最大值,即可求实数a的取值范围.
解答:解:(Ⅰ)x<1时,f′(x)=-3x2+2x+b
∵当
时,函数f(x)有极大值
,
∴f′(
)=-
+
+b=0,f(
)=-
+
+c=
,
∴b=0,c=0;
(Ⅱ)存在x∈[-1,2],使得f(x)≥3a-7成立,等价于x∈[-1,2],使得f(x)max≥3a-7成立
由(Ⅰ)知,
①-1≤x<1时,f′(x)=-3x(x-
),函数在(-1,0)上单调递减,在(0,
)上单调递增,在(
,1)上单调递减
∵f(-1)=2,f(
)=
,∴-1≤x<1时,f(x)max=2,;
②2≥x≥1时,f′(x)=
,
1°、a>0,函数在[1,2]上单调递增,f(x)max=f(2)=aln2,
∴
或
,∴
<a≤
或0<a≤
;
2°、a≤0,函数在[1,2]上单调递减,f(x)max=f(1)=aln1=0,
∴2≥3a-7,∴a≤3,∴a≤0
综上,实数a的取值范围是a≤
.
点评:本题考查导数知识的运用,考查函数的绝对值,考查函数的最值,考查分类讨论的数学思想,属于中档题.
(Ⅱ)存在x∈[-1,2],使得f(x)≥3a-7成立,等价于x∈[-1,2],使得f(x)max≥3a-7成立,分类讨论,求出函数的最大值,即可求实数a的取值范围.
解答:解:(Ⅰ)x<1时,f′(x)=-3x2+2x+b
∵当
∴f′(
∴b=0,c=0;
(Ⅱ)存在x∈[-1,2],使得f(x)≥3a-7成立,等价于x∈[-1,2],使得f(x)max≥3a-7成立
由(Ⅰ)知,
①-1≤x<1时,f′(x)=-3x(x-
∵f(-1)=2,f(
②2≥x≥1时,f′(x)=
1°、a>0,函数在[1,2]上单调递增,f(x)max=f(2)=aln2,
∴
2°、a≤0,函数在[1,2]上单调递减,f(x)max=f(1)=aln1=0,
∴2≥3a-7,∴a≤3,∴a≤0
综上,实数a的取值范围是a≤
点评:本题考查导数知识的运用,考查函数的绝对值,考查函数的最值,考查分类讨论的数学思想,属于中档题.
练习册系列答案
相关题目