题目内容
已知f(x)=logmx(m为常数,m>0且m≠1),设f(a1),f(a2),…,f(an)(n∈N+)是首项为4,公差为2的等差数列.(1)求证:数列{an}是等比数列;
(2)若bn=anf(an),记数列{bn}的前n项和为Sn,当
(3)若cn=anlgan,问是否存在实数m,使得{cn}中每一项恒小于它后面的项?若存在,求出实数m的取值范围.
【答案】分析:(1)根据等差数列的通项公式可求得f(x)的解析式,进而求得an,进而根据
推断出数列{an}是以m4为首项,m2为公比的等比数列
(2)把(1)中的an代入bn=anf(an)求得bn,把m代入,进而利用错位相减法求得Sn.
(3)把an代入cn,要使cn-1<cn对一切n≥2成立,需nlgm<(n+1)•m2•lgm对一切n≥2成立,进而根据m的不同范围求得答案.
解答:解:(1)由题意f(an)=4+2(n-1)=2n+2,即logman=2n+2,
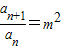
∴an=m2n+2
∴
∵m>0且m≠1,
∴m2为非零常数,
∴数列{an}是以m4为首项,m2为公比的等比数列
(2)由题意bn=anf(an)=m2n+2logmm2n+2=(2n+2)•m2n+2,
当
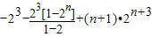
∴Sn=2•23+3•24+4•25+…+(n+1)•2n+2①
①式乘以2,得2Sn=2•24+3•25+4•26+…+n•2n+2+(n+1)•2n+3②
②-①并整理,得Sn=-2•23-24-25-26-…-2n+2+(n+1)•2n+3=-23-[23+24+25+…+2n+2]+(n+1)•2n+3
=
=-23+23(1-2n)+(n+1)•2n+3=2n+3•n
(3)由题意cn=anlgan=(2n+2)•m2n+2lgm,要使cn-1<cn对一切n≥2成立,
即nlgm<(n+1)•m2•lgm对一切n≥2成立,
①当m>1时,n<(n+1)m2对n≥2成立;
②当0<m<1时,n>(n+1)m2
∴
对一切n≥2成立,只需
,
解得
,考虑到0<m<1,
∴0<m<
.
综上,当0<m<
或m>1时,数列{cn}中每一项恒小于它后面的项
点评:本题主要考查了等比关系的确定.涉及了数列的求和,不等式知识等问题,考查了学生分析问题的能力.
(2)把(1)中的an代入bn=anf(an)求得bn,把m代入,进而利用错位相减法求得Sn.
(3)把an代入cn,要使cn-1<cn对一切n≥2成立,需nlgm<(n+1)•m2•lgm对一切n≥2成立,进而根据m的不同范围求得答案.
解答:解:(1)由题意f(an)=4+2(n-1)=2n+2,即logman=2n+2,
∴an=m2n+2
∴
∵m>0且m≠1,
∴m2为非零常数,
∴数列{an}是以m4为首项,m2为公比的等比数列
(2)由题意bn=anf(an)=m2n+2logmm2n+2=(2n+2)•m2n+2,
当
∴Sn=2•23+3•24+4•25+…+(n+1)•2n+2①
①式乘以2,得2Sn=2•24+3•25+4•26+…+n•2n+2+(n+1)•2n+3②
②-①并整理,得Sn=-2•23-24-25-26-…-2n+2+(n+1)•2n+3=-23-[23+24+25+…+2n+2]+(n+1)•2n+3
=
(3)由题意cn=anlgan=(2n+2)•m2n+2lgm,要使cn-1<cn对一切n≥2成立,
即nlgm<(n+1)•m2•lgm对一切n≥2成立,
①当m>1时,n<(n+1)m2对n≥2成立;
②当0<m<1时,n>(n+1)m2
∴
解得
∴0<m<
综上,当0<m<
点评:本题主要考查了等比关系的确定.涉及了数列的求和,不等式知识等问题,考查了学生分析问题的能力.
练习册系列答案
相关题目
已知f(x)是定义在R上的奇函数,当x>0时,f(x)=log
x,那么f(-
)的值是( )
| 1 |
| 4 |
| 1 |
| 2 |
A、
| ||
B、-
| ||
| C、2 | ||
| D、-2 |