搜索
题目内容
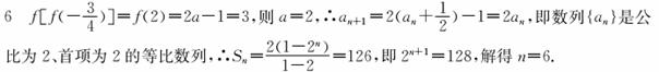
已知
,则
=
。
试题答案
相关练习册答案
练习册系列答案
培优计划赢在起跑线系列答案
情景导学系列答案
同步测评卷系列答案
名师导航完全大考卷系列答案
阳光小伙伴课时提优作业本系列答案
1课3练学科王系列答案
状元之路课时作业与单元测评系列答案
高中新课程导学与评估创新学案系列答案
一品辅堂高中同步学练考系列答案
全优训练零失误优化作业本系列答案
相关题目
已知
,则f(1)=
.
已知
,则f(2)+f(-2)的值为( )
A.6
B.5
C.4
D.2
已知
,则
的值为
.
(1)由“若a,b,c∈R,则(ab)c=a(bc)”类比,若“
,
,
为三个向量,则•
=
•”;
(2)在数列a
n
中,a
1
=0,a
n+1
=2a
n
+2,猜想
;
(3)在平面内“三角形的两边之和大于第三边”类比在空间中“四面体的任意三个面的面积之和大于第四面的面积”;
(4)已知
,则a
1
+a
2
+…a
8
=256
上述四个推理中,得出的结论正确的个数是( )
A.1个
B.2个
C.3个
D.4个
已知
,则
。
关 闭
试题分类
高中
数学
英语
物理
化学
生物
地理
初中
数学
英语
物理
化学
生物
地理
小学
数学
英语
其他
阅读理解答案
已回答习题
未回答习题
题目汇总
试卷汇总
练习册解析答案