题目内容
已知f(x)为定义在(-1,1)上的奇函数,当x∈(0,1)时,(1)证明函数f(x)在(0,1)是增函数
(2)求f(x)在(-1,1)上的解析式.
【答案】分析:(1)利用函数单调性的定义证明函数的单调性,先在区间上任取两一定大小的值,再通过作差法比较两值对应函数值的大小,最后判断单调性;(2)先求函数在(-1,0)上的解析式,利用奇函数的定义和已知解析式即可,再求f(0),最后将定义域上的函数的解析式写成分段函数
解答:解:①任取0<x1<x2<1,

∵0<x1<x2<1
∴
,
∴f(x1)<f(x2)
∴f(x)在(0,1)上是增函数
②当x∈(-1,0)时,-x∈(-1,0)
∴
当x=0时,f(x)=0
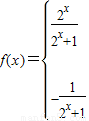
∴

点评:本题考查了函数单调性的定义及其证明方法,函数的奇偶性及其应用,利用对称性求函数的解析式的方法
解答:解:①任取0<x1<x2<1,
∵0<x1<x2<1
∴
∴f(x1)<f(x2)
∴f(x)在(0,1)上是增函数
②当x∈(-1,0)时,-x∈(-1,0)
∴
当x=0时,f(x)=0
∴
点评:本题考查了函数单调性的定义及其证明方法,函数的奇偶性及其应用,利用对称性求函数的解析式的方法
练习册系列答案
相关题目
已知f(x)为定义在(-∞,+∞)上的可导函数,且f(x)<f′(x)对于x∈R恒成立,则( )
| A、f(2)>e2f(0),f(2010)>e2010f(0) | B、f(2)<e2f(0),f(2010)>e2010f(0) | C、f(2)>e2f(0),f(2010)<e2010f(0) | D、f(2)<e2f(0),f(2010)<e2010f(0) |
已知f(x)为定义在R上的奇函数,当x≥0时,f(x)=x(1+x),则当x<0时,有( )
| A、f(x)=-x(1+x) | B、f(x)=-x(1-x) | C、f(x)=x(1-x) | D、f(x)=x(x-1) |