题目内容
设函数f(x)=1-e-x。
(1)证明:当x>-1时,
;
(2)设当x≥0时,
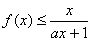
,求a的取值范围。
(1)证明:当x>-1时,
(2)设当x≥0时,
解:(1)当x>-1时,
当且仅当ex≥1+x
令g(x)=ex-x-1,则g'(x)=ex-1
当x≥0时g'(x)≥0,g(x)在[0,+∞)是增函数;
当x≤0时g'(x)≤0,g(x)在(-∞,0]是减函数,
于是g(x)在x=0处达到最小值,
因而当x∈R时,g(x)≥g(0),即ex≥1+x
所以当x>-1时,
;
(2)由题设x≥0,此时f(x)≥0
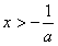
当a<0时,若
则
不成立;
当a≥0时,令h(x)= axf(x)+f(x)-x,则
当且仅当h(x)≤0
h'(x)=af(x)+axf'(x)+f'(x)-1 =af(x)-axf(x)+ax-f(x)
(i)当0≤a≤时,由(1)知x≤(x+1)f(x),
h'(x)≤af(x)-axf(x)+a(x+1)f(x)-f(x) =(2a-1)f(x)≤0,
h(x)在[0,+∞)是减函数,h(x)≤h(0)=0,即f(x)≤
;
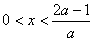
(ii)当
时,由(i)知x≥f(x),
h'(x)=af(x)-axf(x)+ax-f(x) ≥af(x)-axf(x)+af(x)-f(x)=(2a-1-ax)f(x)
当
时,h'(x)>0,
所以h(x)>h(0)=0,即f(x)>
综上,a的取值范围是
。
令g(x)=ex-x-1,则g'(x)=ex-1
当x≥0时g'(x)≥0,g(x)在[0,+∞)是增函数;
当x≤0时g'(x)≤0,g(x)在(-∞,0]是减函数,
于是g(x)在x=0处达到最小值,
因而当x∈R时,g(x)≥g(0),即ex≥1+x
所以当x>-1时,
(2)由题设x≥0,此时f(x)≥0
当a<0时,若
则
当a≥0时,令h(x)= axf(x)+f(x)-x,则
h'(x)=af(x)+axf'(x)+f'(x)-1 =af(x)-axf(x)+ax-f(x)
(i)当0≤a≤时,由(1)知x≤(x+1)f(x),
h'(x)≤af(x)-axf(x)+a(x+1)f(x)-f(x) =(2a-1)f(x)≤0,
h(x)在[0,+∞)是减函数,h(x)≤h(0)=0,即f(x)≤
(ii)当
h'(x)=af(x)-axf(x)+ax-f(x) ≥af(x)-axf(x)+af(x)-f(x)=(2a-1-ax)f(x)
当
所以h(x)>h(0)=0,即f(x)>
综上,a的取值范围是
练习册系列答案
相关题目