题目内容
两个向量
,
的夹角大小为 .
【答案】
![]()
【解析】
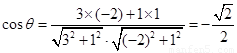
试题分析:由向量坐标形式的夹角公式为
.所以
.由于
.所以
.故填
.本小题的关键是向量所成的角的取值范围以出错.
考点:1.向量的坐标形式.2.向量的夹角的计算公式.3.向量的夹角的取值范围.
练习册系列答案
相关题目