题目内容

a∈R,f(x)为奇函数,且.?

(1)试求f(x)的反函数f -1 (x)及其定义域;?

(2)设g(x)=,若x∈[,]时,f -1(x)≤g(x)?恒成立,试求实数k的范围.

解析:(1)由题意知,

 

f(x)为奇函数,?

f(-x)=-f(x),?

化简有(2x+1) (2a-2)=0.?

又∵2x+1≠0,∴2a-2=0,即a=1.?

由此可解得f -1 (x)=log2.?

又∵2x= >0,?

∴-1<y<1.因此y=f -1(x)的定义域为x∈(-1,1).?

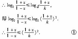
(2)∵当x∈[]时,f -1(x)≤g(x)恒成立,?

又由对数定义可知>0,?

且由x∈[]知1+x>0,1-x>0.故有k>0.?

∴不等式①可化为k2≤1-x2.?

令h(x)=1-x2,由二次函数的单调性可知h(x)在[]上为单调减函数,

则有[h(x)]min=h()=1-()2=.?

∴应有k2≤[h(x)]min=.?

又∵k>0,?

k的取值范围是0<k.

练习册系列答案
相关题目

违法和不良信息举报电话:027-86699610 举报邮箱:58377363@163.com

精英家教网