题目内容

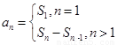
已知数列的前项和),则的值是__________.

 

【答案】

15

【解析】

试题分析:只要理解数列的项与前项和的关系即可很快得解,

考点:数列的项与前项和的关系:

 

练习册系列答案
相关题目

违法和不良信息举报电话:027-86699610 举报邮箱:58377363@163.com

精英家教网