搜索
题目内容
选修4—4:参数方程与极坐标
在平面直角坐标系xOy中,动圆
(
)的圆心为
的取值范围。
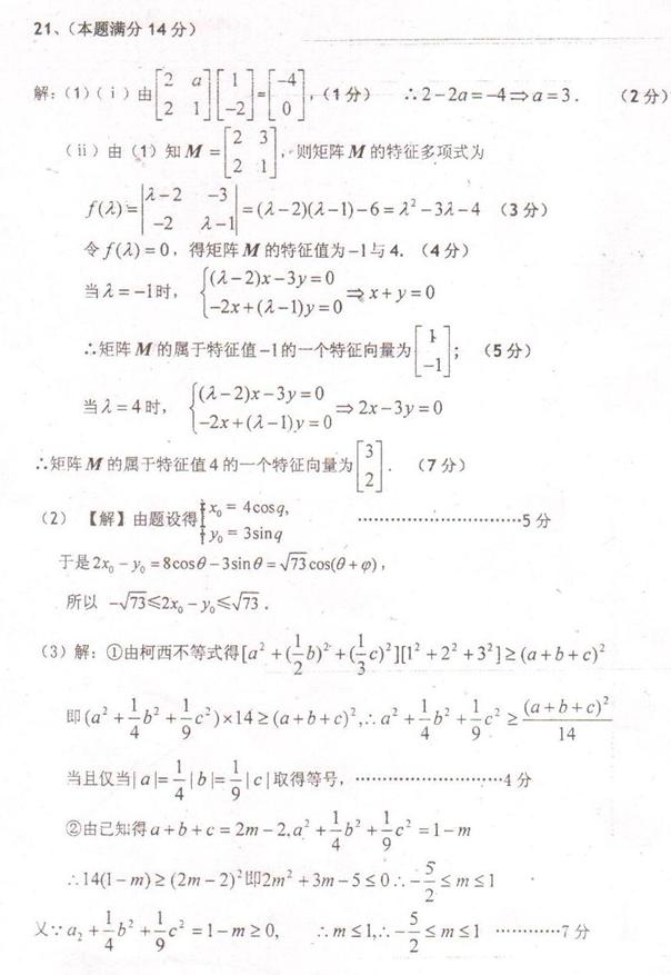
试题答案
相关练习册答案
练习册系列答案
中考必备辽宁师范大学出版社系列答案
新疆中考押题模拟试卷系列答案
中考必做真题课时练系列答案
中考快递真题分类详解系列答案
中考命题规律与必考压轴题系列答案
中考模式试卷汇编 系列答案
中考调研中考考点满分特训方案系列答案
中考研究全国各省市中考真题单元专题训练系列答案
中考风向标系列答案
创新教程系列答案
相关题目
选修4-4 参数方程与极坐标
求圆ρ=3cosθ被直线
x=2+2t
y=1+4t
(t是参数)截得的弦长.
选修4-4 参数方程与极坐标
在平面直角坐标系xOy中,动圆x
2
+y
2
-8xcosθ-6ysinθ+7cos
2
θ+8=0(θ∈R)的圆心为P(x
0
,y
0
),求2x
0
-y
0
的取值范围.
已知
M=
3
-2
2
-2
,
α=
-1
4
,试计算:M
10
α
选修4-4 参数方程与极坐标
过点P(-3,0)且倾斜角为30°直线和曲线
x=t+
1
t
y=t-
1
t
(t为参数)
相交于A、B两点.求线段AB的长.
选修4-4:参数方程与极坐标
试判断直线
l:
x=-1+
2
2
t
y=
2
2
t
(t为参数)与曲C:
x=-1+2cosθ
y=2+2sinθ
(θ为参数)的位置关系.
(10分)
选修4―4 参数方程与极坐标
求圆
被直线
(
是参数
截得的弦长.
关 闭
试题分类
高中
数学
英语
物理
化学
生物
地理
初中
数学
英语
物理
化学
生物
地理
小学
数学
英语
其他
阅读理解答案
已回答习题
未回答习题
题目汇总
试卷汇总
练习册解析答案