题目内容
已知实数a≥
,函数y=ex-ax是区间[-ln3,0)上的增函数,设函数f(x)=ax3-
x,
,
(Ⅰ)求a的值并写出g(x)的表达式;
(Ⅱ)求证:当x>0时,
;
(Ⅲ)设
,其中n∈N* ,问数列{an}中是否存在相等的两项?若存在,求出所有相等的两项;若不存在,请说明理由。
(Ⅰ)求a的值并写出g(x)的表达式;
(Ⅱ)求证:当x>0时,
(Ⅲ)设
(Ⅰ)解:∵函数y=ex-ax是区间[-ln3,0)上的增函数,
∴
在[-ln3,0)上恒成立,
∴
在x∈[-ln3,0)上恒成立,
即
,∴
,
又∵a≥
,
∴
,
∴
。
(Ⅱ)证明:当x>0时,原不等式等价于
,
两边取对数,即证:
,
即证:
,
设
,即证
,
事实上,设
,
则
,
∴
在
上单调递减,
∴
,∴
,
∴原不等式成立。
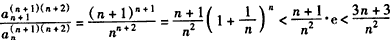
(Ⅲ)解:∵
,由(Ⅱ)可知,
,
令
,由
且n∈N*,得n≥4,
即n≥4时,
,得
,
∴
,
又
,
∴
,且
,
∴
中只可能是
与后面的项相等,
又
,
,
∴数列
中存在唯一的两项相等
。
∴
∴
即
又∵a≥
∴
∴
(Ⅱ)证明:当x>0时,原不等式等价于
两边取对数,即证:
即证:
设
事实上,设
则
∴
∴
∴原不等式成立。
(Ⅲ)解:∵
令
即n≥4时,
∴
又
∴
∴
又
∴数列
练习册系列答案
相关题目