题目内容
若点O和点F(-2,0)分别是双曲线
【答案】分析:设P(m,n ),则
=1,m≥
,利用两个向量的数量积公式化简
的 解析式为
m2+2m-1,据
在[
,+∞)上是增函数,求出其值域.
解答:解:由题意可得 c=2,b=1,故 a=
.设P(m,n ),则
=1,m≥
.
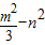
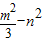
=(m,n )•(m+2,n)=m2+2m+n2=
=
m2+2m-1 关于
m=-
对称,故
在[
,+∞)上是增函数,当 m=
时有最小值为 3+2
,无最大值,
故
的取值范围为
,
故答案为:
.
点评:本题考查双曲线的标准方程,以及双曲线的简单性质的应用,两个向量的数量积公式,化简
的 解析式,
是解题的关键,并注意m的取值范围.
解答:解:由题意可得 c=2,b=1,故 a=
m=-
故
故答案为:
点评:本题考查双曲线的标准方程,以及双曲线的简单性质的应用,两个向量的数量积公式,化简
是解题的关键,并注意m的取值范围.
练习册系列答案
相关题目
若点O和点F(-2,0)分别是双曲线
-y2=1(a>0)的中心和左焦点,点P为双曲线右支上的任意一点,则
•
的取值范围为( )
| x2 |
| a2 |
| OP |
| FP |
A、[3-2
| ||
B、[3+2
| ||
C、[-
| ||
D、[
|