题目内容
求证:函数f(x)=
【答案】分析:利用减函数的定义即可证明.
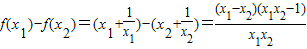
解答:证明:任取x1,x2∈(0,1],且x1<x2,
则
,
∵0<x1<x2≤1,∴x1-x2<0,x1x2-1<0,x1x2>0,
∴f(x1)-f(x2)>0,即f(x1)>f(x2),
∴
在区间(0,1]上是减函数.
点评:正确理解函数的单调性的定义和熟练掌握证明函数单调性的方法步骤是解题的关键.
解答:证明:任取x1,x2∈(0,1],且x1<x2,
则
∵0<x1<x2≤1,∴x1-x2<0,x1x2-1<0,x1x2>0,
∴f(x1)-f(x2)>0,即f(x1)>f(x2),
∴
点评:正确理解函数的单调性的定义和熟练掌握证明函数单调性的方法步骤是解题的关键.
练习册系列答案
相关题目