题目内容
椭圆的中心是原点O,它的短轴长为(1)求椭圆的方程及离心率;
(2)若
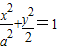
【答案】分析:(1)设椭圆的方程为
,由已知解得
,c=2,所以椭圆的方程为
,离心率
.
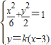
(2)由(1)可得A(3,0),设直线PQ的方程为y=k(x-3),由方程组
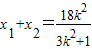
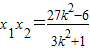
得(3k2+1)x2-18k2x+27k2-6=0.依题意△=12(2-3k2)>0,得
.设P(x1,y1),Q(x2,y2),然后由根与系数的位置关系可知直线PQ的方程为
或
.
解答:(1)解:由题意,可设椭圆的方程为

由已知得
解得
,c=2
所以椭圆的方程为
,离心率
(2)解:由(1)可得A(3,0),设直线PQ的方程为y=k(x-3),由方程组
得(3k2+1)x2-18k2x+27k2-6=0
依题意△=12(2-3k2)>0,得
设P(x1,y1),Q(x2,y2)
则
①
②
由直线PQ的方程得y1=k(x1-3),y2=k(x2-3)
于是y1y2=k2(x1-3)(x2-3)=k2[x1x2-3(x1+x2)+9]③
∵
∴x1x2+y1y2=0④
由①②③④得5k2=1,从而
所以直线PQ的方程为
或
点评:本题主要考查椭圆的标准方程和几何性质,直线方程,平面向量的计算,曲线和方程的关系等解析几何的基本思想方法和综合解题能力.
(2)由(1)可得A(3,0),设直线PQ的方程为y=k(x-3),由方程组
解答:(1)解:由题意,可设椭圆的方程为
由已知得
所以椭圆的方程为
(2)解:由(1)可得A(3,0),设直线PQ的方程为y=k(x-3),由方程组
依题意△=12(2-3k2)>0,得
设P(x1,y1),Q(x2,y2)
则
由直线PQ的方程得y1=k(x1-3),y2=k(x2-3)
于是y1y2=k2(x1-3)(x2-3)=k2[x1x2-3(x1+x2)+9]③
∵
由①②③④得5k2=1,从而
所以直线PQ的方程为
点评:本题主要考查椭圆的标准方程和几何性质,直线方程,平面向量的计算,曲线和方程的关系等解析几何的基本思想方法和综合解题能力.
练习册系列答案
相关题目