题目内容
已知O为坐标原点,(1)求y=f(x)的单调递增区间;
(2)若f(x)的定义域为
【答案】分析:(Ⅰ)先用向量的数量积得到
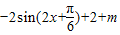
再用倍角公式得到y=
再用辅助角法化为y=
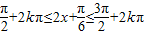
由
(k∈Z)求单调区间.
(Ⅱ)用整体思想,由x的范围,得到
,解得f(x)的值域.
解答:解:(Ⅰ)
=
=
由
(k∈Z)
得y=f(x)的单调递增区间为
(k∈Z)
(Ⅱ)当
时,
∴
∴1+m≤f(x)≤4+m,
∴
点评:本题主要考查向量的数量积,三角函数的倍角公式及辅助角法以及求单调区间及值域等问题,本题的关键是整体思想的应用.
(Ⅱ)用整体思想,由x的范围,得到
解答:解:(Ⅰ)
=
由
得y=f(x)的单调递增区间为
(Ⅱ)当
∴
∴1+m≤f(x)≤4+m,
∴
点评:本题主要考查向量的数量积,三角函数的倍角公式及辅助角法以及求单调区间及值域等问题,本题的关键是整体思想的应用.
练习册系列答案
相关题目